Dieses Kapitel ist wieder prüfungsrelevant. Es können Bezüge aus dem vorherigen Kapitel auftauchen. In diesem Kapitel wird mathematisch hergeleitet, wie Filter funktionieren.
Wir können das Wassermodell mit elektrischen Komponenten nachbauen. Es besteht dann aus einer idealen Spannungsquelle (Quelle), einem Widerstand (Rohr) und einem Kondensator (Eimer). Die Spannungsquelle ist eine Wechselspannungsquelle. Das Signal, das gefiltert werden soll, wird von dieser Quelle erzeugt. Die Komponenten sind in Reihe geschaltet. Wir leiten zunächst her, dass diese Reihenschaltung filternd wirkt, also frequenzabhängiges Verhalten zeigt.

Die Eingangsgröße des Filters ist die Quellenspannung u0. Die Ausgangsgröße ist die Spannung am Kondensator uc. Wir können erneut eine Übertragungsfunktion H angeben. Wir betrachten Filter nur im Frequenzbereich, niemals im Zeitbereich. Wir benötigen für den Ausgang der Filterschaltung die Spannung am Kondensator.
Wichtig: Es wird im Kapitel Filter sowohl mit komplexen Impedanzen (ETR) als auch mit Reaktanzen (BMT und UFC) gearbeitet. Studenten aus UFC und BMT haben komplexe Impedanzen nicht in Elektrotechnik gelernt. Die Texte sind aufgeteilt je nach verwendeter Mathematik. Komplexe Wechselstromrechnung (ETR) ist als roter Text und die vereinfachte Rechnung mit Reaktanzen ist als blauer Text realisiert. Sie müssen nur den für Sie gedachten Text lesen.
H mit Impedanzen
Wir brauchen am Eingang keine ideale Spannungsquelle, sondern nur eine Eingangsspannung. Damit ist das Filter allgemeiner definiert. Kondensator und Widerstand bilden einen Spannungsteiler mit komplexen Impedanzen.

Für die zweite Umformung habe ich den Bruch mit jωC in Zähler und Nenner multipliziert. Da der Faktor ω in der Gleichung enthalten ist, ist das Verhalten des Filters offenbar abhängig von der Frequenz ω = 2πf.
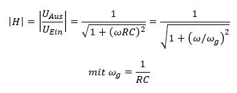
Uns interessiert nur der Betrag der Übertragungsfunktion. Die Phase gibt nur eine zeitliche Verschiebung zwischen Ausgangs- und Eingangssignal an. Der Betrag wirkt auf den Spitzenwert, er verstärkt oder dämpft Signale. Für den Betrag werden Realteil und Imaginärteil quadratisch addiert:

Der Betrag der Übertragungsfunktion gibt an, wie sich der Spitzenwert der Ausgangsspannung ändert, wenn eine sinusförmige Eingangsspannung anliegt. Wenn die Frequenz hoch ist, dann wird der Nenner des Bruchs größer und der Spitzenwert der Ausgangsspannung ist kleiner. Bei niedriger Frequenz ist der Nenner klein und die Ausgangsspannung ist größer.
Die Verwendung des Betrags bringt einen Vorteil mit sich: Es gibt keine komplexen Zahlen mehr. Mit dem Betrag können wir die Studenten der BMT einfangen, die ohne komplexe Zahlen klarkommen müssen. Studenten der ETR überspringen bitte den nächsten Teil und steigen bei Bereichsunterteilung wieder ein.
H mit Reaktanzen
Wir brauchen am Eingang keine ideale Spannungsquelle, sondern nur eine Eingangsspannung. Damit ist das Filter allgemeiner definiert. Kondensator und Widerstand bilden einen Spannungsteiler mit Reaktanzen. Erinnern Sie sich: Reaktanzen von Widerstand und Kondensator werden quadratisch addiert. Mit Reaktanzen kann berechnet werden, wie sich der Spitzenwert einer sinusförmigen Spannung ändert.

Für die zweite Umformung habe ich den Bruch mit ωC in Zähler und Nenner multipliziert. Da der Faktor ω in der Gleichung enthalten ist, ist das Verhalten des Filters offenbar abhängig von der Frequenz ω = 2πf.
Die Übertragungsfunktion wirkt auf den Spitzenwert, sie verstärkt oder dämpft Signale. Um mit den Studenten aus der ETR kompatibel weitermachen zu können verwenden wir ab jetzt den Betrag der Übertragungsfunktion. Für Sie ist dieser identisch mit der Übertragungsfunktion selbst, bei der komplexen Wechselstromrechnung brauchen wir den Betrag, damit alles mathematisch richtig ist. Wir nutzen auch nicht den Spitzenwert der Spannungen, sondern allgemein die Spannungen. Gewöhnen Sie sich bitte einfach an die neue Schreibweise, die nicht mehr exakt so wie in Elektrotechnik ist:

Der Betrag der Übertragungsfunktion gibt an, wie sich der Spitzenwert der Ausgangsspannung ändert, wenn eine sinusförmige Eingangsspannung anliegt. Wenn die Frequenz hoch ist, dann wird der Nenner des Bruchs größer und der Spitzenwert der Ausgangsspannung ist kleiner. Bei niedriger Frequenz ist der Nenner klein und die Ausgangsspannung ist größer.
Bereichsunterteilung
Hier geht es unabhängig von der gewählten Mathematik gemeinsam für alle Studiengänge weiter. Es werden zwei Bereiche in der Formel unterschieden:
Bereich 1: Für sehr kleine Frequenzen gilt im Nenner des Bruchs 1 >> ωRC. Wenn ω auf der rechten Seite der Gleichung nur klein genug ist, dann ist die 1 viel größer. Damit kann der Term jωRC gegenüber der 1 vernachlässigt werden. In der Formel lassen wir ihn für sehr kleine Frequenzen also weg. Der Bruch wird dann zu:

Es gilt dann uAus = uEin. Signale mit sehr kleiner Frequenz passieren das Filter also unverändert.
Bereich 2: Im anderen Fall betrachten wir sehr hohe Frequenzen mit 1 << ωRC im Nenner des Bruchs. Wenn ω auf der rechten Seite der Gleichung nur groß genug gewählt wird, dann ist die 1 viel kleiner als dieser rechte Term. Diesmal vernachlässigen wir die 1 und lassen sie weg. Die Übertragungsfunktion lässt sich vereinfachen zu

Die Übertragungsfunktion sinkt mit steigender Kreisfrequenz ω. Die Ausgangsspannung sinkt also bei konstanter Eingangsspannung mit 1/ω. Das entspricht dem Verhalten f(x) = 1/x aus der Schulmathematik. Das Ausgangssignal wird in der Phase um -j gedreht. Es wird über der Zeit gegenüber dem Eingangssignal nach rechts verschoben. Das deckt sich mit der Überlegung aus dem Wassermodell.
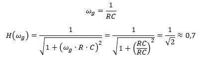
Grenzfrequenz
An der Stelle ωRC = 1 ändert sich das Verhalten. Wir nennen die Frequenz, bei der diese Gleichung erfüllt ist, die Grenzfrequenz ωg. Es gilt

Die Übertragungsfunktion an der Grenzfrequenz erhalten wir, indem wie die Grenzkreisfrequenz in die Formel der Übertragungsfunktion einsetzen:

Die Grenzfrequenz trennt Bereich 1 und Bereich 2 voneinander. Signale mit Frequenzen viel kleiner als die Grenzfrequenz passieren das Filter nahezu unverändert. Diese Signale liegen in Bereich 1. Ist die Frequenz eines Signals viel größer als die Grenzfrequenz liegt das Signal in Bereich 2. Rund um die Grenzfrequenz wird das Signal auch schon leicht vom Filter verändert. Dieser Bereich ist mathematisch unschön.
Der Betrag der Übertragungsfunktion |H(ω)| zeigt folgenden Verlauf über ω, wenn als Grenzfrequenz ωg = 30 1/s angesetzt wird:

Wie ist die Abbildung oben entstanden? Wir berechnen den Betrag der Übertragungsfunktion aus |uAus / uEin| für viele Werte von ω. Diese tragen wir dann mit ω auf der x-Achse in das Diagramm ein. Jeder Wert der Übertragungsfunktion ist für eine Signalfrequenz gültig.
Aus der Abbildung oben kann die Grenzfrequenz des Filters abgelesen werden. An der Grenzfrequenz beträgt der Betrag der Übertragungsfunktion |H(ωg)| = 0,7.
Die Grenzfrequenz eines Systems wird über die Werte von R und C in der Schaltung festgelegt. Wir können also über die Bauelementgrößen der Filterschaltung festlegen, wo die Grenzfrequenz liegt. In der Abbildung oben habe ich sie willkürlich auf ωg = 30 1/s festgelegt. Sie können andere Werte wählen, indem Sie R und/oder C verändern. Ganz allgemein beschreiben wir Filter in der folgenden Form:
